Künstliche Intelligenz ist derzeit ein großer Hype und weckt zahlreiche Erwartungen. Sie soll uns im Alltag unterstützen und idealerweise irgendwann sogar helfen, globale Probleme zu lösen. Doch kann KI nachhaltig sein – oder stellt sie selbst ein neues Problem für den Umweltschutz dar?
KI und ihre Folgen für die Umwelt
KI-Systeme sind auf große Rechenzentren angewiesen. Dort stehen hunderte Computer, die produziert, betrieben und gekühlt werden müssen. Beim Betrieb entsteht Wärme, die abgeführt werden muss – sonst sinkt die Lebensdauer der Geräte. Zum Strombedarf der Rechner kommt daher der zusätzliche Energiebedarf für deren Kühlung. Im Grunde ist es die gleiche Problematik wie beim Strombedarf von Bitcoin – auch hier wirkt sich der Stromverbrauch der Rechenzentren negativ auf die Umwelt aus.
Der Energieaufwand in Rechenzentren beschränkt sich jedoch nicht auf die konkrete Nutzung einer KI, etwa bei einer ChatGPT-Anfrage oder dem AI Overview von Google. Large-Language-Modells (LLMs) müssen zuvor mit sehr großen Datenmengen trainiert werden – ein Prozess, der erheblich mehr Energie benötigt als einzelne Anfragen. Leider machen KI-Unternehmen nur selten genaue Angaben zum Energieverbrauch ihrer Systeme. Daher existieren bislang vor allem Schätzungen zum tatsächlichen Strombedarf für Training und Betrieb moderner KI-Modelle.
Wichtige Fragen im Hinblick auf die Umweltfolgen sind daher:
- Wurde die KI-Hardware umweltschonend hergestellt?
- Werden die Rechenzentren mit Strom aus erneuerbaren Energien betrieben?
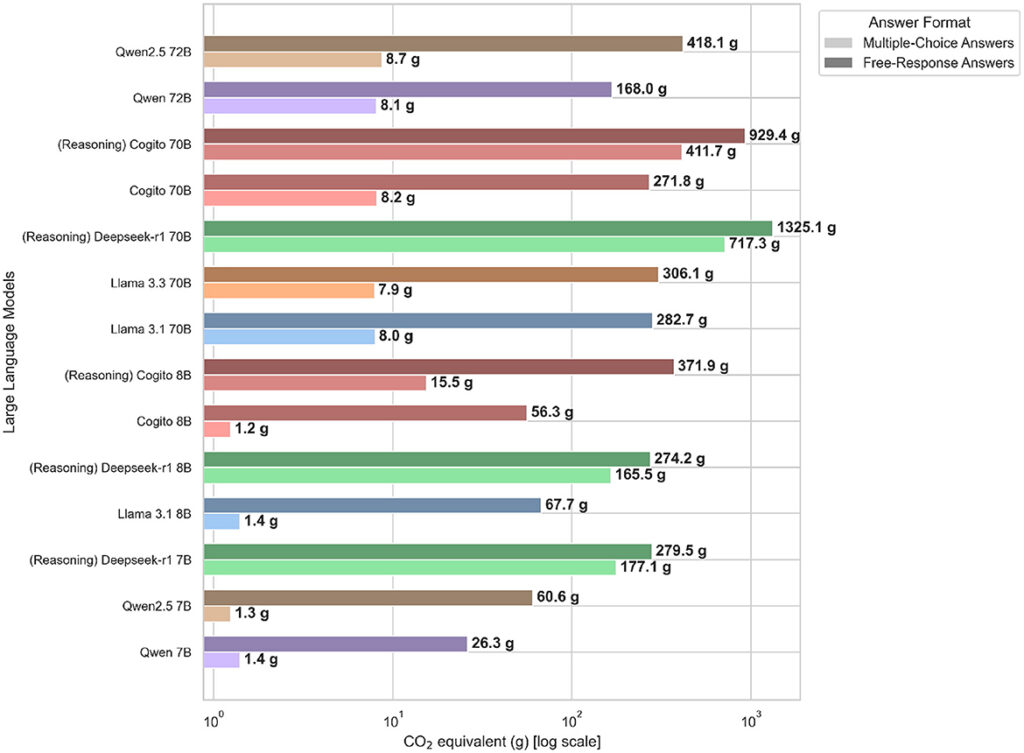
Stromverbrauch der KI hängt vom Modell und der Aufgabe ab
Beim Vergleich verschiedener LLMs kamen in Studien sehr unterschiedliche Ergebnisse heraus. Forschende testeten 14 Sprachmodelle und berechneten den CO₂-Fußabdruck auf Grundlage ihres Stromverbrauchs. Die KI-Systeme mussten dabei Fragen mit Freitextantworten sowie Multiple-Choice-Aufgaben lösen. Getestet wurden verschiedene Varianten von Qwen (Alibaba Cloud), Cogito (Deep Cogito), LLaMA (Meta) und DeepSeek (High-Flyer).
In der Studie von Dauner und Socher [1] zeigte sich deutlich, dass einfache Antworten einen wesentlich geringeren CO₂-Fußabdruck haben als ausführliche Erklärungen. Auch die Modellgröße – gemessen an der Anzahl der Parameter – spielt eine große Rolle.

Besonders effizient waren die kleinen LLMs (ca. 7 Milliarden Parameter): Cogito und Qwen benötigten für Multiple-Choice-Fragen nur etwa 1,2 – 1,3 g CO₂ pro Antwort. Die gleichen Modelle mit 70 Milliarden Parametern verursachten dagegen bereits rund 8,2 g CO₂.
Bei komplexen Freitextantworten schnitt das kleine 7-Milliarden-Parameter-Modell von Qwen mit 26,3 g CO₂ am besten ab, während das Reasoning-Modell von DeepSeek mit gleicher Parameterzahl sogar 279,5 g CO₂ verursachte.
Diese Werte sind besonders interessant für Menschen, die ein LLM auf ihrem eigenen Rechner betreiben. Bei der Internetsuche besteht jedoch meist keine Auswahlmöglichkeit, welches Modell verwendet wird. Außerdem braucht nicht jede Anfrage die „Kreativität“ einer KI – viele Fragen lassen sich weiterhin effizient über herkömmliche Suchmaschinen beantworten.
KI-Suche vs. Google-Suche
Eine Google-Suche verbraucht im Durchschnitt etwa 0,3 Wattstunden (Wh), während eine Anfrage an OpenAIs ChatGPT deutlich mehr Energie benötigt. Einige Quellen geben für eine Anfrage an ChatGPT-5 rund 18,9 Wh an
[2]. Damit ist diese Version wesentlich energieintensiver als ihre Vorgänger: Im Schnitt benötigt ChatGPT-5 etwa achtmal mehr Strom pro Anfrage als ChatGPT-4.
Der Energieaufwand pro KI-Anfrage variiert jedoch stark – je nach Art der Aufgabe und Komplexität der Antwort. KI-generierte Bilder etwa sind deutlich stromintensiver als Textausgaben; und eine kurze Antwort verbraucht weniger Energie als ein ausführlicher Artikel. Auch der Energiebedarf verschiedener KI-Modelle unterscheidet sich erheblich.
Insgesamt lässt sich festhalten: Eine herkömmliche Suchanfrage, die lediglich einen kurzen Datenbankabgleich erfordert, verbraucht deutlich weniger Energie als eine KI-Anfrage. Leider zeichnet sich derzeit jedoch ein Trend ab, dass Suchmaschinen automatisch KI-generierte Antworten anzeigen – sodass Nutzerinnen und Nutzer die KI nicht mehr immer umgehen können.
Gibt es „grüne“ KI’s?
Im Gegensatz zu Google betreibt die Suchmaschine Ecosia ihre Rechenzentren vollständig mit erneuerbaren Energien aus Wind- und Sonnenstrom
[3]. Zudem lässt sich das KI-Feature bei Ecosia derzeit deaktivieren. Damit haben Nutzerinnen und Nutzer selbst in der Hand, ob sie für eine Suchanfrage ein KI-System verwenden möchten oder nicht.
Fazit: Nachhaltige KI in Zeiten vom KI-Hype
Aktuell gibt es in der Unternehmenswelt einen unbeschreiblichen Druck auf den KI-Hype mit aufzuspringen. Die Angst von der Konkurrenz abgehängt zu werden führt oft zu KI-Features an Stellen, wo ihr Nutzen mindestens fragwürdig. Die wichtigste Frage allerdings ist, wie unsere Rechenzentren nachhaltiger werden können. Der Bedarf an Rechenkapazität nimmt weltweit und die Stromerzeugung aus erneuerbaren Energien wächst so schnell nicht mit.
Umso wichtiger ist es deshalb, KI bewusst zu nutzen und bei einfachen Suchanfragen sich mit den Ergebnissen von „einfachen Suchmaschinen“ zufrieden zu geben. Für wirklich KI-relevante Aufgaben wie Recherchen über Hintergründen, Textzusammenfassungen oder Text- und Bilderstellung bieten sich grüne KI’s von Organisationen wie Ecosia an, die Wert auf nachhaltige Rechenzentren mit einer Stromversorgung aus erneuerbaren Energien legen.
Ich jedenfalls habe jetzt meinen Standard-Suchmaschine im Browser im Sinne der Nachhaltigkeit angepasst! Schreib mir gerne, wenn es sich auch überzeugt hat!






Schreibe einen Kommentar